Numerical methods
The notes for the ENME745/ENME417 “Numerical Methods in Engineering” course are available for download here (scroll down and click download). Most of the students in this combined graduate/undergraduate course do not specialize in numerical methods, and as such I have found over the years that the material is best introduced in a more intuitive and less formal way. I then introduce some basic concepts of numerical analysis later. This means that my notes have a slightly different ”tone” compared to more formal books on numerical methods, and therefore they might be of interest to other teachers and/or people wanting to learn this material on their own.
Hypersonic flows
“Turbulence and Transition in Supersonic and Hypersonic FLows” is a multi-author book where each chapter is written by a different author (or pair of authors). The book covers transition (6 chapters) and turbulent flows (5 chapters). The book is meant to be pedagogical rather than a recent review of the state-of-the-art. The book is published by Elsevier and is available from Amazon and other such places.

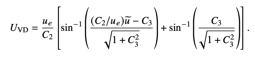
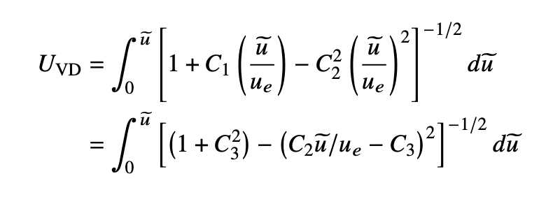
Typos and corrections for Chapter 7 in the book:
- Corrected Eqn. (7.50), with a plus sign before the second \sin^{-1} term:

- Corrected equation immediately before Eqn. (7.50), with a minus sign in the second row:
